
步琦实验室设备贸易(上海)有限公司
白金会员
已认证

步琦实验室设备贸易(上海)有限公司
白金会员
已认证

使用 Pure Flash C-815
高效分离 ω-3 脂肪酸
Pure应用
1
简介
ω-3 脂肪酸是一类长链多不饱和脂肪酸,由于人体中缺乏 Δ−12 和 Δ−15 脱饱和酶,Ω-3 脂肪酸必须通过饮食获取,并且被认为对人类健康至关重要。EPA 和 DHA 的摄入量的增加已被科学证明在治疗和预防动脉粥样硬化、心肌梗死、炎症、关节炎、糖尿病、婴儿大脑发育和癌症方面有益。许多流行病学、观察性和临床研究强调了 ω-3 脂肪酸在降低血浆甘油三酯水平和预防心血管疾病方面的有效性。全球的心脏病学会建议每天服用 ω-3 脂肪酸(EPA+DHA 或仅 EPA)的剂量为 4 克(总EPA + DHA 超过 3 克),这代表了一种有效的降甘油三酯治疗剂。随着这一关注度的增加,对高纯度 ω-3 脂肪酸的需求激增。然而长期的过度捕鱼导致主要鱼类来源急剧下降,导致 ω-3 脂肪酸的价格迅速上涨。尽管如此,全世界只有少数公司有能力生产药用级 ω-3 脂肪酸。因此开发一种普遍适用且成本效益高的技术,以确保高纯度 ω-3 脂肪酸的安全生产是必要的。在本研究中,使用 RP-MPLC 技术来制备高纯度的 ω-3 脂肪酸乙酯,目标总含量不低于 84% 的 EPA 和 DHA,这是根据药典规定的。基本变量控制分离过程被评估和优化,基于纯度和回收率,包括填料材料、流动相、样品体积、样品浓度、流速和流动相组成。
2
色谱柱填料对分离效果的影响
色谱柱填料是色谱系统的“核心”,其物理化学性质,包括包装结构的均匀性(单相、多孔或非多孔)、几何形状(粒径、床面积和孔径及形状)以及所附接的配体类型,对分离效能有显著影响。为了寻找高通量、低背压、高灵敏度和高分辨率以实现高效分离的色谱柱填料,对多种键合相材料(CN、Diol、C4、C6、C8、C18 和 AQ-C18)在 ω-3 脂肪酸乙酯的纯化中进行了评估(见 图1 和 表1)

▲ 图1.使用不同色谱柱填料的 ω-3 脂肪酸乙酯的 RP-MPLC 色谱图
表1. AQ-C18 和 C18 对 RP-MPLC 纯化的 EPA 和 DHA 酯的影响。
色谱柱填料 | AQ-C18 | C18 |
tR2 (min) | 17.09±0.08 | 31.08±0.14 |
tR3 (min) | 21.53±0.07 | 37.90±0.1 |
Rs1 | 1.43±0.02 | 1.27±0.03 |
Rs2 | 1.13±0.03 | 1.02±0.03 |
注意:tR2 表示 EPA 的保留时间;tR3 表示 DHA 的保留时间;RS1 表示 EPA 与其前杂质(组分A)的分离度;RS2 表示 DHA 与其后杂质(组分D)的分离度。同一组中的不同字母表示显著差异 (p<0.05) 。以下表格同样适用此注释。
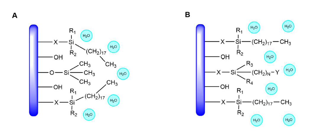
C18 和 AQ-C18 填充材料的洗脱曲线显示出 EPA 和 DHA 的明显目标峰,并且与相邻的杂质峰有良好的分离。AQ-C18 显示了较早的峰出现时间,较短的纯化时间和较低的溶剂消耗,与 C18 相比,这展示了更优越的分离效率。C18 和 AQ-C18 都是非极性反相色谱固定相,带有十八烷基碳链的硅胶。然而,AQ-C18 经历硅羟基的极性末端封口,减少了表面的残留硅醇,从而增强了 ω-3 脂肪酸乙酯的分离效果(见 图2)。因此,AQ-C18 被选为后续实验的固定相。

▲ 图2. RP-MPLC 固定相(A) C18 和(B) AQ-C18 的结构差异
3
流动相对分离效果的影响
选择合适的流动相对于提高分离效率起着重要的辅助作用。低粘度、低沸点和低成本的溶剂被优先考虑。在 图3 和 表2 中,乙醇和乙腈在从 ω-3 脂肪酸中分离出杂质时效果不佳,而甲醇则成功了。尽管甲醇的粘度较高,但其较低的沸点使得从产品中除去甲醇,比乙腈和乙醇更容易。因此甲醇被选为首选的流动相。

▲ 图3. 不同流动相下 ω-3 脂肪酸乙酯的 RP-MPLC 色谱图
表2. 不同流动相对 RP-MPLC 纯化 EPA 和 DHA 乙酯的影响。
流动相 | 乙醇 | 乙腈 | 甲醇 |
tR2 (min) | 6.29 ± 0.08 | 13.95 ± 0.1 | 17.08 ± 0.06 |
tR3 (min) | 7.14 ± 0.04 | 15.81 ± 0.08 | 21.54 ± 0.08 |
Rs1 | 0 | 0 | 1.42 ± 0.02 |
Rs2 | 0 | 1.32 ± 0.02 | 1.27 ± 0.03 |
流动相中有机溶剂的比例会改变其极性,从而影响样品组分在固定相中的分配系数,并影响分离效率。增加甲醇比例会推迟峰出现时间,使峰形变宽,并减少脂肪酸乙酯 EPA 和 DHA 的保留时间、分辨率以及纯度(见 图4 和 表3)。这是因为增加流动相的极性已被发现能够通过延迟非极性FAEE在柱中的保留时间来提高分离效率。当甲醇比例为 86% 至 90% 时,ω-3 脂肪酸的纯度逐渐下降;同时回收率提高。当甲醇比例达到92%时,EPA 和 DHA 的脂肪酸乙酯纯度降至 83.39%,这不符合国家药典标准。甲醇比例超过 90% 不利于制备高纯度的 ω-3 脂肪酸。因此选择 90% 的甲醇溶液作为流动相。

▲ 图4. 不同甲醇浓度的 RP-MPLC 的 ω-3 脂肪酸乙酯色谱图
表3. 不同甲醇浓度对 RP-MPLC 纯化 EPA 和 DHA 乙酯的影响
甲醇:水 | 86:14 | 88:12 | 90:10 | 92:8 |
EPA-EE/DHA-EE纯度 (%) | 87.17 ± 0.15 | 86.32 ± 0.10 | 85.27 ± 0.15 | 83.39 ± 0.14 |
EPA-EE/DHA-EE回收率 (%) | 54.51 ± 0.16 | 65.24 ± 0.12 | 74.30 ± 0.11 | 53.28 ± 0.01 |
tR2(min) | 22.81 ± 0.05 | 18.37 ± 0.07 | 11.87 ± 0.05 | 9.67 ± 0.1 |
tR3(min) | 30.48 ± 0.08 | 24.26 ± 0.06 | 15.07 ± 0.04 | 12.02 ± 0.07 |
Rs1 | 1.64 ± 0.04 | 1.50 ± 0.02 | 1.22 ± 0.04 | 1.05 ± 0.03 |
Rs2 | 1.41 ± 0.03 | 1.26 ± 0.03 | 1.02 ± 0.02 | 0.84 ± 0.02 |
4
上样体积对分离效果的影响
根据色谱制备的非线性理论,增加样品体积可以提高色谱的处理能力,提高产品回收率,并提高生产效率。如 图5 所示,随着负载体积的增长,保留时间延迟,峰形变宽,分辨率降低,纯化时间增加。这可能是因为更多的杂质在 AQ-C18 填料上吸附,影响了主峰和杂质峰的分离,从而降低了目标物质的纯度。当样品体积为 0.6mL 时,EPA 和 DHA 峰的总乙酯回收率最高(83.57%)。为了在实现更好的分离效果的同时最大化负载体积,选择了 0.6mL 的样品负载量,相当于色谱柱 1.25% 的柱体积。

▲ 图5. 不同上样体积 RP-MPLC 的 ω-3 脂肪酸乙酯色谱图
表4. 不同上样体积对 RP-MPLC 纯化 EPA 和 DHA 乙酯的影响
上样体积mL | 0.4 | 0.5 | 0.6 | 0.7 |
EPA-EE/DHA-EE纯度 (%) | 87.57 ± 0.30 | 86.75 ± 0.08 | 86.67 ± 0.24 | 83.15 ± 0.30 |
EPA-EE/DHA-EE回收率 (%) | 58.44 ± 0.13 | 65.43 ± 0.21 | 83.57 ± 0.22 | 63.59 ± 0.36 |
tR2(min) | 17.10 ± 0.04 | 17.25 ± 0.05 | 17.40 ± 0.05 | 17.51 ± 0.04 |
tR3(min) | 21.47 ± 0.04 | 21.80 ± 0.03 | 22.07 ± 0.07 | 22.30 ± 0.06 |
Rs1 | 1.43 ± 0.02 | 1.32 ± 0.03 | 1.27 ± 0.02 | 1.06 ± 0.02 |
Rs2 | 1.07 ± 0.02 | 1.02 ± 0.01 | 1.02 ± 0.02 | 0.96 ± 0.02 |
5
样品浓度对分离效果的影响
在工业生产中,增加样品的浓度可以增强色谱处理能力,而降低浓度有助于促进分析物向色谱填料材料的分配和吸附过程,从而提高目标物质与杂质的分离度。然而这种改进是以相应的回收率降低为代价。图6 展示了不同浓度的鱼油乙酯与甲醇混合的 RP-MPLC 色谱曲线,并附 表5。随着鱼油乙酯浓度的增加,EPA 和 DHA 乙酯的纯度下降,而回收率、保留时间和分辨率表现出增加。相反,使用纯鱼油注射降低了 EPA 和 DHA 乙酯的分离因子,实现了 1.23 的前杂质分离因子和 1.10 的后杂质分离因子,纯度为 85.75%。EPA 和 DHA 乙酯的回收率随着样品的浓度稳步增加,达到纯鱼油时的峰值 74.62%。为了最大化生产效率,选择了纯鱼油乙酯。

▲ 图6. 不同纯度样品 RP-MPLC 的 ω-3 脂肪酸乙酯色谱图
表5. 不同浓度对 RP-MPLC 纯化 EPA 和 DHA 乙酯的影响
样品浓度g/mL | 0.25 | 0.5 | 1 | Pure |
EPA-EE/DHA-EE纯度 (%) | 87.19 ± 0.19 | 86.63 ± 0.28 | 86.11 ± 0.11 | 85.75 ± 0.15 |
EPA-EE/DHA-EE回收率 (%) | 50.47 ± 0.08 | 58.65 ± 0.07 | 62.21 ± 0.08 | 74.62 ± 0.05 |
tR2(min) | 15.86 ± 0.03 | 17.51 ± 0.04 | 17.61 ± 0.03 | 17.72 ± 0.02 |
tR3(min) | 18.07 ± 0.06 | 20.69 ± 0.06 | 21.47 ± 0.04 | 21.92 ± 0.03 |
Rs1 | 1.38 ± 0.03 | 1.35 ± 0.02 | 1.29 ± 0.02 | 1.23 ± 0.04 |
Rs2 | 1.31 ± 0.04 | 1.27 ± 0.03 | 1.13 ± 0.02 | 1.10 ± 0.03 |
6
流速对分离效果的影响
在液相色谱系统中,增加流速可以缩短分析物的洗脱时间,但可能会降低色谱分析的稳定性。随着流速的增加,分析物的洗脱时间提前,峰形变得更加紧凑,导致乙酯 EPA 和 DHA 的峰与周围杂质峰的距离更近(图7)。随着流速的加快,EPA 和 DHA 乙酯的洗脱时间持续缩短,导致保留时间和分辨率降低,从而纯度下降(表6)。此外,EPA 和 DHA 乙酯的回收率也随着流速的增加而持续下降,这可能是因为过高的流速可能会阻碍目标化合物的吸附到固定相。为了优化分离效率同时减少时间和溶剂的使用,选择了 30mL/min 的流速。

▲ 图7. 不同流速下 RP-MPLC 的 ω-3 脂肪酸乙酯色谱图
表6. 不同流速对 RP-MPLC 纯化 EPA 和 DHA 乙酯的影响
流速mL/min | 20.00 | 25.00 | 30.00 | 35.00 |
EPA-EE/DHA-EE纯度 (%) | 86.17 ± 0.15 | 86.01 ± 0.14 | 85.27 ± 0.15 | 84.16 ± 0.83 |
EPA-EE/DHA-EE回收率 (%) | 82.86 ± 0.18 | 76.35 ± 0.01 | 73.82 ± 0.16 | 58.94 ± 0.14 |
tR2(min) | 17.33 ± 0.06 | 14.08 ± 0.08 | 11.87 ± 0.05 | 9.62 ± 0.09 |
tR3(min) | 20.60 ± 0.07 | 17.82 ± 0.08 | 15.07 ± 0.06 | 12.09 ± 0.08 |
Rs1 | 1.27 ± 0.03 | 1.26 ± 0.03 | 1.23 ± 0.01 | 1.14 ± 0.02 |
Rs2 | 1.28 ± 0.04 | 1.06 ± 0.02 | 1.01 ± 0.02 | 0.87 ± 0.03 |
7
ω-3 脂肪酸乙酯纯化后的脂肪酸分析
含有相当于色谱柱体积 1.25% 的鱼油乙酯被引入装有AQ-C18 填料的 RP-MPLC 柱(粒径 20-40 微米,孔径100Å,表面积 320−340m2/g),并用 90:10(体积比)的甲醇-水溶液作为等度流洗脱剂,流速为30mL/min,操作压力为 1-4bar,步琦 Pure Flash C-815 中压制备色谱。在最佳纯化条件下,鱼油乙酯的 RP-MPLC 色谱图如图8所示。收集了 B 和 C 两个馏分,并在减压下浓缩,随后通过 GC-MS 进行鉴定。总共鉴定出16种脂肪酸,以 2.39% 的单不饱和脂肪酸(SFA)、3.14% 的多不饱和脂肪酸(MUFA)和94.47% 的饱和脂肪酸(PUFA)的形式存在(图9和表7)。与初始样品相比,去除了 SFA C14:0、C15:0 和 C19:0;MUFA C24:1n9;以及PUFA C22:5n3、C20:3n6和C22:5n6。ω-3 PUFA 的比例从 78.59%上升到 90.34%,主要成分是 EPA 和 DHA,分别占 57.13% 和 28.14%,总计 85.27%。因此,通过 AQ-C18 RP-MPLC 纯化的 ω-3 脂肪酸乙酯符合《2020 年药典》中“乙基多烯酸”的标准,该标准规定 EPA 和 DHA 的含量至少为 84%。

▲ 图8. 在最佳纯化条件下鱼油乙酯的 RP-MPLC 色谱图

▲ 图9. ω-3 脂肪酸乙酯的纯化气相色谱图
表7. 纯化 ω-3 脂肪酸乙酯的脂肪酸组成


8
实验结论
通过使用 AQ-C18 色谱柱和步琦 Pure Flash C-815 中压制备色谱,获得了总 EPA 和 DHA 含量为 85.27%,回收率高达 74.30% 的 ω-3 脂肪酸乙酯。鱼油样品注射量为柱体积的 1.25%;以(90:10,v:v)的甲醇-水溶液作为流动相,以 30mL/min 的流速进行等速洗脱,操作压力为 1-4bar。与 RP-HPLC 相比,虽然两种方法生产的 EPA 和 DHA 乙酯纯度均符合国家药典标准,RP-MPLC 允许更大样品的装载量、更高的流速和更低的系统压力,从而缩短了纯化时间、提高了生产效率并降低了生产成本。

▲ Pure Flash C-815 中压制备色谱系统
9
参考文献
Sang, M.; Pan, N.; Wu, J.; Chen, X.; Cai, S.; Fang, H.; Xiao, M.; Jiang, X.; Liu, Z. Reversed-Phase Medium-Pressure Liquid Chromatography Purification of Ω-3 Fatty Acid Ethyl Esters Using AQ-C18. Mar. Drugs 2024, 22, 285.

长按上方二维码联系我们
或拨打联系电话:
400 - 880 - 8720
微信公众号
步琦智慧实验室
淘宝官方旗舰店
瑞士步琦
最新动态
更多
请拨打厂商400电话进行咨询
使用微信扫码拨号